题目内容

直线恒过定点,且点在直线)上,则的最小值为

A.                   B.             C.            D.

 

【答案】

B

【解析】

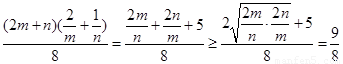
试题分析:先求出定点,再将代入直线,得到关于m、n的关系式,由基本不等式得:=

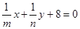
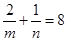
解:直线恒过定点,把A代入直线得:,所以=,则的最小值为。故选B。

考点:基本不等式.

点评:本题主要考查直线过定点问题和基本不等式的运用.考查基础知识的综合运用.

 

练习册系列答案
相关题目

违法和不良信息举报电话:027-86699610 举报邮箱:58377363@163.com

精英家教网