搜索
题目内容
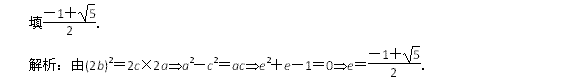
设一个椭圆的焦距、短轴长、长轴长成等比数列,则此椭圆的离心率
e
=
.
试题答案
相关练习册答案
练习册系列答案
我能考第一金牌一课一练系列答案
新课标同步单元练习系列答案
满分王周周检测系列答案
同步精练广东系列答案
全程导练提优训练系列答案
手拉手全优练考卷系列答案
第一好卷冲刺100分系列答案
新课改新学案系列答案
卓越课堂系列答案
名校金典课堂系列答案
相关题目
设一个椭圆的焦距、短轴长、长轴长成等比数列,则此椭圆的离心率e=
-1+
5
2
-1+
5
2
.
设一个椭圆的焦距、短轴长、长轴长成等比数列,则此椭圆的离心率
e
=
.
设一个椭圆的焦距、短轴长、长轴长成等比数列,则此椭圆的离心率e=______.
设一个椭圆的焦距、短轴长、长轴长成等比数列,则此椭圆的离心率e=
.
设一个椭圆的焦距、短轴长、长轴长成等比数列,则此椭圆的离心率e=
.
关 闭
试题分类
高中
数学
英语
物理
化学
生物
地理
初中
数学
英语
物理
化学
生物
地理
小学
数学
英语
其他
阅读理解答案
已回答习题
未回答习题
题目汇总
试卷汇总
练习册解析答案