题目内容
直四棱柱ABCD﹣A1B1C1D1中,底面ABCD是等腰梯形,AB∥CD,AB=2AD=2DC=2,E为
BD1的中点,F为AB中点.
(1)求证:EF∥平面ADD1A1;
(2)若
,求A1F与平面DEF所成角的正弦值.
BD1的中点,F为AB中点.
(1)求证:EF∥平面ADD1A1;
(2)若
解:(1)证明:连接AD1,在△ABD1中
∵E是BD1的中点,F是BA中点,
∴EF∥AD1
又EF
平面ADD1A1,AD1
平面ADD1A1
∴EF∥平面ADD1A1.
(2)建立如图所示的空间直角坐标系D﹣xyzz(DG为AB边上的高)
则有A1(
,﹣
,
),F(
,
,0),D1(0,0,
),B(
,
,0),
∴E(
,
,
),
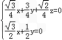
设平面DEF的一个法向量为n=(x,y,z),
由,
得
取x=1解得
∴法向量
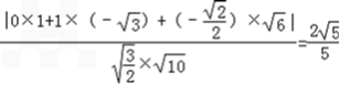
∵
=(0,1,﹣
),
设A1F与平面DEF所成的角为θ,
则
=
∴A1F与平面DEF所成角的正弦值为
.

∵E是BD1的中点,F是BA中点,
∴EF∥AD1
又EF
∴EF∥平面ADD1A1.
(2)建立如图所示的空间直角坐标系D﹣xyzz(DG为AB边上的高)
则有A1(
∴E(
设平面DEF的一个法向量为n=(x,y,z),
由,
取x=1解得
∴法向量
∵
设A1F与平面DEF所成的角为θ,
则
∴A1F与平面DEF所成角的正弦值为
练习册系列答案
相关题目