搜索
题目内容
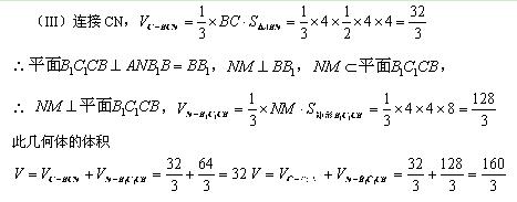
已知某几何体的直观图和三视图如下图所示,其正视图为矩形,侧视图为等腰直角三角形,俯视图为直角梯形.
(I)求证:
平面
; (II)求证:
平面
;
(III)求此几何体的体积.
试题答案
相关练习册答案
练习册系列答案
智慧鸟快乐衔接辅导专家系列答案
快乐学习报强化训练快乐假期期末复习暑假系列答案
高分装备中考真题分类系列答案
假期作业暑假希望出版社系列答案
练就优等生系列答案
快乐暑假江苏凤凰教育出版社系列答案
假期生活暑假方圆电子音像出版社系列答案
新课堂假期生活暑假用书系列答案
假期作业黄山书社系列答案
暑假习训系列答案
相关题目
已知某几何体的直观图和三视图如图所示,其正视图为矩形,侧视图为等腰直角三角形,俯视图为直角梯形.
(Ⅰ)若M为CB中点,证明:MA∥平面CNB
1
;
(Ⅱ)求这个几何体的体积.
(2012•钟祥市模拟)已知某几何体的直观图和三视图如图所示,其正视图为矩形,侧视图为等腰直角三角形,俯视图为直角梯形.
(1)求证:BN⊥平面C
1
B
1
N;
(2)
设
θ
为直线
C
1
N与平面CN
B
1
所成的角,求sin
θ
的值
;
(3)设M为AB中点,在BC边上找一点P,使MP∥平面CNB
1
并求
BP
PC
的值
.
已知某几何体的直观图与它的三视图,其中俯视图为正三角形,其它两个视图是矩形.已知D是这个几何体的棱A
1
C
1
上的中点.
(Ⅰ)求出该几何体的体积;
(Ⅱ)求证:直线BC
1
∥平面AB
1
D;
(Ⅲ)求证:直线B
1
D⊥平面AA
1
D.
已知某几何体的直观图和三视图如下图所示,其正视图为矩形,侧视图为等腰直角三角形,俯视图为直角梯形
(1)求证:BC∥平面C
1
B
1
N;
(2)求证:BN⊥平面C
1
B
1
N;
(3)设M为AB中点,在BC边上找一点P,使MP∥平面CNB
1
,并求
BP
PC
的值.
(2013•乐山一模)已知某几何体的直观图和三视图如图所示,其正视图为矩形,左视图为等腰直角三角形,俯视图为直角梯形.
(Ⅰ)证明:BN⊥平面C
1
NB
1
;
(Ⅱ)求平面CNB
1
与平面C
1
NB
1
所成角的余弦值;
关 闭
试题分类
高中
数学
英语
物理
化学
生物
地理
初中
数学
英语
物理
化学
生物
地理
小学
数学
英语
其他
阅读理解答案
已回答习题
未回答习题
题目汇总
试卷汇总
练习册解析答案