题目内容
已知函数f(x)=(ax2+x)ex,其中e是自然数的底数,a∈R.(1)当a<0时,解不等式f(x)>0;
(2)若f(x)在[-1,1]上是单调增函数,求a的取值范围;
(3)当a=0时,求整数k的所有值,使方程f(x)=x+2在[k,k+1]上有解.
【答案】分析:(1)根据ex>0,a<0,不等式可化为
,由此可求不等式f(x)>0的解集;
(2)求导函数,再分类讨论:①当a=0时,f′(x)=(x+1)ex,f′(x)≥0在[-1,1]上恒成立;②当a≠0时,令g(x)=ax2+(2a+1)x+1,因为△=(2a+1)2-4a=4a2+1>0,f(x)有极大值又有极小值.若a>0,可得f(x)在[-1,1]上不单调;若a<0,要使f(x)在[-1,1]上单调,因为g(0)=1>0,必须满足
,从而可确定a的取值范围;
(3)当a=0时,原方程等价于
,构建函数
,求导函数,可确定h(x)在(-∞,0)和(0,+∞)内是单调增函数,从而可确定方程f(x)=x+2有且只有两个实数根,且分别在区间[1,2]和[-3,-2]上,故可得k的值.
解答:解:(1)因为ex>0,所以不等式f(x)>0,即为ax2+x>0,
又因为a<0,所以不等式可化为
,
所以不等式f(x)>0的解集为
.(4分)
(2)f′(x)=(2ax+1)ex+(ax2+x)ex=[ax2+(2a+1)x+1]ex,
①当a=0时,f′(x)=(x+1)ex,f′(x)≥0在[-1,1]上恒成立,
当且仅当x=-1时取等号,故a=0符合要求;(6分)
②当a≠0时,令g(x)=ax2+(2a+1)x+1,
因为△=(2a+1)2-4a=4a2+1>0,所以g(x)=0有两个不相等的实数根x1,x2,不妨设x1>x2,
因此f(x)有极大值又有极小值.
若a>0,因为g(-1)•g(0)=-a<0,所以f(x)在(-1,1)内有极值点,故f(x)在[-1,1]上不单调.(8分)
若a<0,可知x1>0>x2,因为g(x)的图象开口向下,要使f(x)在[-1,1]上单调,
因为g(0)=1>0,必须满足
,即
,所以
.
综上可知,a的取值范围是
.(10分)
(3)当a=0时,方程即为xex=x+2,由于ex>0,所以x=0不是方程的解,所以原方程等价于
,
令
,
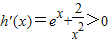
因为
对于x∈(-∞,0)∪(0,+∞)恒成立,
所以h(x)在(-∞,0)和(0,+∞)内是单调增函数,(13分)
又h(1)=e-3<0,h(2)=e2-2>0,
,h(-2)=e-2>0,
所以方程f(x)=x+2有且只有两个实数根,且分别在区间[1,2]和[-3,-2]上,
所以整数k的所有值为{-3,1}.(16分)
点评:本题考查解不等式,考查导数知识的运用,考查函数的单调性,考查函数与方程思想,考查分类讨论的数学思想,综合性强.
(2)求导函数,再分类讨论:①当a=0时,f′(x)=(x+1)ex,f′(x)≥0在[-1,1]上恒成立;②当a≠0时,令g(x)=ax2+(2a+1)x+1,因为△=(2a+1)2-4a=4a2+1>0,f(x)有极大值又有极小值.若a>0,可得f(x)在[-1,1]上不单调;若a<0,要使f(x)在[-1,1]上单调,因为g(0)=1>0,必须满足
(3)当a=0时,原方程等价于
解答:解:(1)因为ex>0,所以不等式f(x)>0,即为ax2+x>0,
又因为a<0,所以不等式可化为
所以不等式f(x)>0的解集为
(2)f′(x)=(2ax+1)ex+(ax2+x)ex=[ax2+(2a+1)x+1]ex,
①当a=0时,f′(x)=(x+1)ex,f′(x)≥0在[-1,1]上恒成立,
当且仅当x=-1时取等号,故a=0符合要求;(6分)
②当a≠0时,令g(x)=ax2+(2a+1)x+1,
因为△=(2a+1)2-4a=4a2+1>0,所以g(x)=0有两个不相等的实数根x1,x2,不妨设x1>x2,
因此f(x)有极大值又有极小值.
若a>0,因为g(-1)•g(0)=-a<0,所以f(x)在(-1,1)内有极值点,故f(x)在[-1,1]上不单调.(8分)
若a<0,可知x1>0>x2,因为g(x)的图象开口向下,要使f(x)在[-1,1]上单调,
因为g(0)=1>0,必须满足
综上可知,a的取值范围是
(3)当a=0时,方程即为xex=x+2,由于ex>0,所以x=0不是方程的解,所以原方程等价于
令
因为
所以h(x)在(-∞,0)和(0,+∞)内是单调增函数,(13分)
又h(1)=e-3<0,h(2)=e2-2>0,
所以方程f(x)=x+2有且只有两个实数根,且分别在区间[1,2]和[-3,-2]上,
所以整数k的所有值为{-3,1}.(16分)
点评:本题考查解不等式,考查导数知识的运用,考查函数的单调性,考查函数与方程思想,考查分类讨论的数学思想,综合性强.
练习册系列答案
相关题目
已知函数f(x)=x2-bx的图象在点A(1,f(1))处的切线l与直线3x-y+2=0平行,若数列{
}的前n项和为Sn,则S2010的值为( )
| 1 |
| f(n) |
A、
| ||
B、
| ||
C、
| ||
D、
|