题目内容
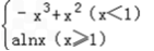
已知函数f(x)=
的图象过点(﹣1,2),且在点(﹣1,f(
﹣1))处的切线与直线x﹣5y+1=0垂直.
(1)求实数b,c的值;
(2)求f(x)在[﹣1,e](e为自然对数的底数)上的最大值;
(3)对任意给定的正实数a,曲线y=f(x)上是否存在两点P,Q,使得△POQ是以O为直角顶点的直角三角形,且此三角形斜边中点在y轴上?
﹣1))处的切线与直线x﹣5y+1=0垂直.
(1)求实数b,c的值;
(2)求f(x)在[﹣1,e](e为自然对数的底数)上的最大值;
(3)对任意给定的正实数a,曲线y=f(x)上是否存在两点P,Q,使得△POQ是以O为直角顶点的直角三角形,且此三角形斜边中点在y轴上?
解:(1)由题意可得,当x<1时,f′(x)=﹣3x2+2x+b,f′(﹣1)=﹣3﹣2+b=b﹣5.
由( b﹣5 )(
)=﹣1,可得b=0,
故 f(x)=﹣x3+x2+c.把点(﹣1,2)代入求得 c=0.
综上可得b=0,c=0.
(2)由以上可得
,当﹣1≤x<1时,f′(x)=﹣x(3x﹣2).
解f′(x)>0得0<x<
.解f′(x)<0得1≥x>
或x<0.
∴f(x)在(﹣1,0)和(
,1)上单调递减,在(0,
)上单调递增,
从而f(x)在x=
处取得极大值为f(
)=
.
又∵f(﹣1)=2,f(1)=0,
∴f(x)在[﹣1,1)上的最大值为2.
当1≤x≤e时,f(x)=alnx,
当a≤0时,f(x)≤0.
当a>0时,f(x)在[1,e]单调递增;
∴f(x)在[1,e]上的最大值为a.
∴a≥2时,f(x)在[﹣1,e]上的最大值为a;
当a<2时,f(x)在[﹣1,e]上的最大值为2.
(3)设点P的横坐标为m(不妨设m>0),
则由题意可得点Q的横坐标为﹣m,且﹣m<0.
当0<m<1时,点P(m,﹣m3+m2),点 Q(﹣m,m3+m2),
由K0P·KOQ=﹣1,可得(﹣m2+m)(﹣m2﹣m)=﹣1,m无解.
当m≥1时,点P(m,alnm),点 Q(﹣m,m3+m2),
由K0P·KOQ=﹣1,可得
·(﹣m2﹣m)=﹣1,即 alnm=
.
由于a为正实数,故存在大于1的实数m,满足方程 alnm=
.
故曲线y=f(x)上是否存在两点P,Q,使得△POQ是以O为直角顶点的直角三角形,
且此三角形斜边中点在y轴上.
由( b﹣5 )(
故 f(x)=﹣x3+x2+c.把点(﹣1,2)代入求得 c=0.
综上可得b=0,c=0.
(2)由以上可得
解f′(x)>0得0<x<
∴f(x)在(﹣1,0)和(
从而f(x)在x=
又∵f(﹣1)=2,f(1)=0,
∴f(x)在[﹣1,1)上的最大值为2.
当1≤x≤e时,f(x)=alnx,
当a≤0时,f(x)≤0.
当a>0时,f(x)在[1,e]单调递增;
∴f(x)在[1,e]上的最大值为a.
∴a≥2时,f(x)在[﹣1,e]上的最大值为a;
当a<2时,f(x)在[﹣1,e]上的最大值为2.
(3)设点P的横坐标为m(不妨设m>0),
则由题意可得点Q的横坐标为﹣m,且﹣m<0.
当0<m<1时,点P(m,﹣m3+m2),点 Q(﹣m,m3+m2),
由K0P·KOQ=﹣1,可得(﹣m2+m)(﹣m2﹣m)=﹣1,m无解.
当m≥1时,点P(m,alnm),点 Q(﹣m,m3+m2),
由K0P·KOQ=﹣1,可得
由于a为正实数,故存在大于1的实数m,满足方程 alnm=
故曲线y=f(x)上是否存在两点P,Q,使得△POQ是以O为直角顶点的直角三角形,
且此三角形斜边中点在y轴上.
练习册系列答案
相关题目
已知函数f(x)=x3的切线的斜率等于1,则这样的切线有( )
| A、1条 | B、2条 | C、3条 | D、不确定 |