题目内容
已知三角形ABC的面积A.30°
B.45°
C.60°
D.75°
【答案】分析:由余弦定理可得,三角形ABC的面积
=
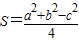
,又S=
,故sin C=cosC,
根据0<C<π,求出C的值.
解答:解:∵由余弦定理可得,三角形ABC的面积
=
=
.
又三角形ABC的面积 S=
,∴sin C=cosC,再由 0<C<π,
可得 C=45°,
故选 B.
点评:本题考查余弦定理的应用,根据三角函数的值求角,求出sin C=cosC,是解题的关键.
根据0<C<π,求出C的值.
解答:解:∵由余弦定理可得,三角形ABC的面积
又三角形ABC的面积 S=
可得 C=45°,
故选 B.
点评:本题考查余弦定理的应用,根据三角函数的值求角,求出sin C=cosC,是解题的关键.
练习册系列答案
相关题目