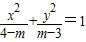
题目内容
如果方程A.3<m<4
B.
C.
D.
【答案】分析:进而根据焦点在y轴推断出4-m>0,m-3>0并且m-3>4-m,求得m的范围.
解答:解:由题意可得:方程
表示焦点在y轴上的椭圆,
所以4-m>0,m-3>0并且m-3>4-m,
解得:
.
故选D.
点评:本题主要考查了椭圆的标准方程,解题时注意看焦点在x轴还是在y轴.
解答:解:由题意可得:方程
所以4-m>0,m-3>0并且m-3>4-m,
解得:
故选D.
点评:本题主要考查了椭圆的标准方程,解题时注意看焦点在x轴还是在y轴.
练习册系列答案
相关题目