题目内容

若命题“”是假命题,则实数的最小值为(     )

A、       B、         C、          D、 

 

【答案】

D

【解析】

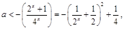
试题分析:先求恒成立的值,最后求其补集即可.变形得

上是减函数,

.故实数的最小值为

考点:常用逻辑用语.

 

练习册系列答案
相关题目

违法和不良信息举报电话:027-86699610 举报邮箱:58377363@163.com

精英家教网