题目内容

在直角坐标系中,曲线的参数方程为为参数),以该直角坐标系的原点为极点,轴的正半轴为极轴的极坐标系下,曲线的方程为.

(1)求曲线的普通方程和曲线的直角坐标方程;

(2)设曲线和曲线的交点,求.

 

【答案】

(1)曲线的普通方程:;曲线的直角坐标方程为.

(2)

【解析】

试题分析:(1)由为参数)消去参数得曲线的普通方程

代入得曲线的直角坐标方程.   

(2)由于曲线为直线,曲线为圆,所以求出圆的半径及圆心到直线的距离,再由便可求得.

试题解析:(1)由为参数)消去参数得曲线的普通方程:

代入得曲线的直角坐标方程为   4分

(2)曲线可化为,表示圆心在,半径的圆,

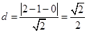
所以圆心到直线的距离为

所以                                         10分

考点:1、参数方程与普通方程的转化;2、极坐标方程与直角坐标方程的转化;3、点到直线的距离公式;4、圆的弦长的求法

 

练习册系列答案
相关题目

违法和不良信息举报电话:027-86699610 举报邮箱:58377363@163.com

精英家教网