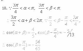
题目内容
(12分)已知
求![]()
答案
![]()
练习册系列答案
相关题目
(本小题满分14分)某工厂三个车间共有工人1000名,各车间男、女工人数如下表:
|
|
第一车间 |
第二车间 |
第三车间 |
|
女工 |
173 |
100 |
|
|
男工 |
177 |
|
|
已知在全厂工人中随机抽取1名,抽到第二车间男工的概率是0.15.
(1)求
的值;
(2)现用分层抽样的方法在全厂抽取50名工人,问应在第三车间抽取多少名?
(3)已知
,求第三车间中女工比男工少的概率.