题目内容
已知向量(1)求函数y=f(x)的表达式;
(2)设α,β∈[0,
【答案】分析:(1)利用向量的数量积和两角和的正弦公式即可得出;
(2)利用诱导公式、平方关系、两角和的余弦公式即可得出.
解答:解:(1)依题意得f(x)=
=A
,
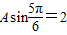
∵f(2π)=2,∴
,∴
,解得A=4.
∴f(x)=
.
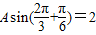
(2)由
,得
,即
,
∴
又∵
,∴sinα=
=
,
由
,得
,即
.
∴
,
又∵
,∴
,
∴cos(α+β)=cosαcosβ-sinαsinβ=
.
点评:熟练掌握向量的数量积运算和两角和的正弦公式、诱导公式、平方关系、两角和的余弦公式是解题的关键.
(2)利用诱导公式、平方关系、两角和的余弦公式即可得出.
解答:解:(1)依题意得f(x)=
∵f(2π)=2,∴
∴f(x)=
(2)由
∴
又∵
由
∴
又∵
∴cos(α+β)=cosαcosβ-sinαsinβ=
点评:熟练掌握向量的数量积运算和两角和的正弦公式、诱导公式、平方关系、两角和的余弦公式是解题的关键.
练习册系列答案
相关题目