题目内容
已知函数f(x)=x2ln(ax)(a>0)
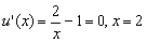
(1)若f′(x)≤x2对任意的x>0恒成立,求实数a的取值范围;
(2)当a=1时,设函数
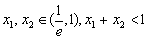
,若x1,x2∈(
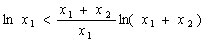
,1),x1+x2<1,求证:x1x2<(x1+x2)4。
解:(1)

即
在
上恒成立
设

时,单调减
时,单调增
所以
时,
有最大值

所以
。
(2)当
时,
g′(x)=
∴
所以在
上
是增函数
上是减函数
因为
所以
即
同理
所以
又因为
当且仅当
时,取等号
又

所以
所以
所以
。
即
设
所以
所以
(2)当
g′(x)=
∴
所以在
因为
所以
即
同理
所以
又因为
当且仅当
又
所以
所以
所以
练习册系列答案
相关题目
| π |
| 2 |
A、f(x)=2sin(πx+
| ||
B、f(x)=2sin(2πx+
| ||
C、f(x)=2sin(πx+
| ||
D、f(x)=2sin(2πx+
|