题目内容
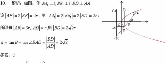
已知直线与抛物线交于A,B两点,F为抛物线C的焦点,若|AF|=2|BF|,则k的值是 ( )
A. B. C. D.
(本题满分12分)已知直线与抛物线交于两点,
(1)若,求的值;
已知直线与抛物线交于两点,为的中点,为抛物线上一个动点,若满足,则下列一定成立的是( )。
A. B. 其中是抛物线过的切线
C. D.
((本小题满分14分)
已知直线与抛物线交于A,B两点,且经过抛物线的焦点F,
(1)若已知A点的坐标为,求线段AB中点到准线的距离.
(2)求面积最小时,求直线的方程。
已知直线与抛物线交于不同两点,若线段中点的纵坐标为,则等于( )
已知直线与抛物线交于两点,且(为坐标原点),于点,点的坐标为(1)求直线的方程(2)抛物线的方程