题目内容
设数列{an}的前n项和为Sn,已知a1=1,Sn+1=4an+2,
(Ⅰ)设bn=an+1-2an,证明数列{bn}是等比数列;
(Ⅱ)求数列{an}的通项公式。
(Ⅰ)设bn=an+1-2an,证明数列{bn}是等比数列;
(Ⅱ)求数列{an}的通项公式。
(Ⅰ)证明:由已知有a1+a2=4a1+2,解得a2=3a1+2=5,
故b1=a2-2a1=3,
又an+2=Sn+2-Sn+1=4an+1+2-(4an+2)=4an+1-4an,
于是an+2-2an+1=2(an+1-2an),即bn+1=2bn,
因此数列{bn}是首项为3,公比为2的等比数列.
(Ⅱ)解:由(Ⅰ)知等比数列{bn}中b1=3,公比q=2,
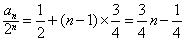
所以an+1-2an=3×2n-1,于是
,
因此数列
是首项为
,公差为
的等差数列,
,
所以
。
故b1=a2-2a1=3,
又an+2=Sn+2-Sn+1=4an+1+2-(4an+2)=4an+1-4an,
于是an+2-2an+1=2(an+1-2an),即bn+1=2bn,
因此数列{bn}是首项为3,公比为2的等比数列.
(Ⅱ)解:由(Ⅰ)知等比数列{bn}中b1=3,公比q=2,
所以an+1-2an=3×2n-1,于是
因此数列
所以
练习册系列答案
相关题目