题目内容
在△ABC中,内角A,B,C的对边分别为a,b,c。已知
。
(1)求
的值;
(2)若cosB=
,△ABC的周长为5,求b的长。
(1)求
(2)若cosB=
解:(1)由正弦定理得
所以
即
既有
即
所以
=2。
(2)由(1)知
=2
所以有
,即c=2a
又因为△ABC的周长为5,
所以b=5-3a
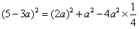
由余弦定理得:
即
解得a=1,a=5(舍去)
所以b=2。
所以
即
既有
即
所以
(2)由(1)知
所以有
又因为△ABC的周长为5,
所以b=5-3a
由余弦定理得:
即
解得a=1,a=5(舍去)
所以b=2。
练习册系列答案
相关题目