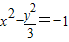
题目内容
双曲线A.y=±3
B.
C.
D.
【答案】分析:先确定双曲线的焦点所在坐标轴,再确定双曲线的实轴长和虚轴长,最后确定双曲线的渐近线方程.
解答:解:∵双曲线
,
即
,它的a=
,b=1,焦点在y轴上,
而双曲线
的渐近线方程为y=±
,
∴双曲线
的渐近线方程为y=±
x,
故选D.
点评:本题考查了双曲线的标准方程,双曲线的几何意义,特别是双曲线的渐近线方程,解题时要注意先定位,再定量的解题思想.
解答:解:∵双曲线
即
而双曲线
∴双曲线
故选D.
点评:本题考查了双曲线的标准方程,双曲线的几何意义,特别是双曲线的渐近线方程,解题时要注意先定位,再定量的解题思想.
练习册系列答案
相关题目