题目内容
下列各式中成立的一项( )A.
B.
C.
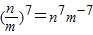
D.
【答案】分析:由指数的运算法则和根式与分数指数幂的互化,A中应为
;B中等式左侧为正数,右侧为负数;C中x=y=1时不成立,排除法即可得答案.
解答:解:A中应为
;
B中等式左侧为正数,右侧为负数;
C中x=y=1时不成立;
D正确.
故选D
点评:本题考查根式与分数指数幂的互化、指数的运算法则,考查运算能力.
解答:解:A中应为
B中等式左侧为正数,右侧为负数;
C中x=y=1时不成立;
D正确.
故选D
点评:本题考查根式与分数指数幂的互化、指数的运算法则,考查运算能力.
练习册系列答案
相关题目
下列各式中成立的一项( )
A、(
| ||||||||
B、
| ||||||||
C、
| ||||||||
D、
|