题目内容
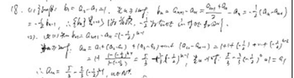
(12分)已知数列满足、、(1)令,证明是等比数列(2)求的通项公式
解析
已知数列满足条件:,(1)判断数列是否为等比数列; (2)若,令, 证明:(1); (2)
已知数列{}满足条件:=1,=2+1,n∈N﹡.(Ⅰ)求证:数列{+1}为等比数列;(Ⅱ)令=,是数列{}的前n项和k^s*5#u,证明.
已知数列满足:;
(1)求;
(2)设,求数列的前项和为。
(本小题满分12分)已知数列满足()
(1)求的值;
(2)证明数列是等比数列,并求出数列的通项公式;
(3)若数列满足(),求数列的前项和
(本小题满分12分)已知数列满足, ,.
(1)求证:是等比数列;
(2)求证:设,且对于恒成立,
求的取值范围.