题目内容
在平面直角坐标系中,过点M(-2,0)的直线l与椭圆
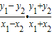
【答案】分析:设P1(x1,y1),P2(x2,y2),中点P(x,y),
=
,然后用点差法能够求出k1k2的值.
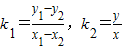
解答:解:设P1(x1,y1),P2(x2,y2),中点P(x,y),
=
,
把P1(x1,y1),P2(x2,y2)分别代入椭圆
,相减得
.
∴k1k2=
=
.
答案:-
.
点评:本题考查圆锥曲线的性质和应用,解题时要认真审题,仔细解答.
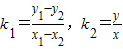
解答:解:设P1(x1,y1),P2(x2,y2),中点P(x,y),
把P1(x1,y1),P2(x2,y2)分别代入椭圆
∴k1k2=
答案:-
点评:本题考查圆锥曲线的性质和应用,解题时要认真审题,仔细解答.
练习册系列答案
相关题目