搜索
题目内容
已知函数
.
(Ⅰ)当
时,求
在点
处的切线方程;
(Ⅱ)若对于任意的
,恒有
成立,求
的取值范围.
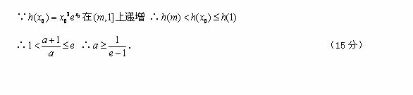
试题答案
相关练习册答案
练习册系列答案
听力总动员系列答案
听力一本通系列答案
通城学典计算能手系列答案
同步奥数培优系列答案
同步测试天天向上系列答案
同步课时精练系列答案
创新作业同步练习系列答案
同步练习浙江教育出版社系列答案
同步训练与单元测试系列答案
同步训练与期中期末闯关系列答案
相关题目
已知函数
f(x)=
a+lo
g
2
x(当x≥2时)
x
2
-4
x-2
(当x<2时)
在点x=2处
连续,则常数a的值是( )
A、2
B、3
C、4
D、5
已知函数y=x•2
x
,当f'(x)=0时,x=
-
1
ln2
-
1
ln2
.
已知函数y=ax
3
+bx
2
,当x=1时,有极大值3
(1)求函数的解析式
(2)写出它的单调区间
(3)求此函数在[-2,2]上的最大值和最小值.
已知函数
y=cosx+x,当x∈[-
π
2
,
π
2
]
时,该函数的值域是
[-
π
2
,
π
2
]
[-
π
2
,
π
2
]
.
已知函数
f(x)=
a+lo
g
2
x(当x≥2时)
x
2
-4
x-2
(当x<2时)
在点x=2处
连续,则常数a的值是
3
3
.
关 闭
试题分类
高中
数学
英语
物理
化学
生物
地理
初中
数学
英语
物理
化学
生物
地理
小学
数学
英语
其他
阅读理解答案
已回答习题
未回答习题
题目汇总
试卷汇总
练习册解析答案