题目内容
已知函数f(x)=x2+alnx.(1)当a=-2时,求函数f(x)的单调区间和极值;
(2)若
【答案】分析:(1)求出函数f(x)的导数,得到导数在x=1时为零.然后列表讨论函数在区间(0,1)和(1,+∞)上讨论函数的单调性,即可得到函数f(x)的单调区间和极值;
(2)
在[1,+∞)上是单调函数,说明g(x)的导数g'(x)在区间[1,+∞)恒大于等于0,或g'(x)在区间[1,+∞)恒小于等于0.然后分两种情况加以讨论,最后综合可得实数a的取值范围.
解答:解:(1)易知,函数f(x)的定义域为(0,+∞).…(1分)
当a=-2时,
.…(2分)
当x变化时,f'(x)和f(x)的值的变化情况如下表:…(4分)
由上表可知,函数f(x)的单调递减区间是(0,1),单调递增区间是(1,+∞),极小值是f(1)=1.…(8分)
(2)由
,得
.…(9分)
又函数
为[1,+∞)上单调函数,
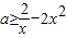
①若函数g(x)为[1,+∞)上的单调增函数,
则g'(x)≥0在[1,+∞)上恒成立,
即不等式
在[1,+∞)上恒成立.
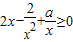
也即
在[1,+∞)上恒成立,
而φ(x)=
在[1,+∞)上的最大值为φ(1)=0,所以a≥0.…(12分)
②若函数g(x)为[1,+∞)上的单调减函数,
根据①,在[1,+∞)上φ(x)max=φ(1)=0,φ(x)没有最小值.…(13分)
所以g'(x)≤0在[1,+∞)上是不可能恒成立的.…(15分)
综上,a的取值范围为[0,+∞).…(16分)
点评:本题是一道导数的应用题,着重考查利用导数研究函数的单调性与极值,函数恒成立等知识点,属于中档题.
(2)
解答:解:(1)易知,函数f(x)的定义域为(0,+∞).…(1分)
当a=-2时,
当x变化时,f'(x)和f(x)的值的变化情况如下表:…(4分)
| x | (0,1) | 1 | (1,+∞) |
| f'(x) | - | + | |
| f(x) | 递减 | 极小值 | 递增 |
(2)由
又函数
①若函数g(x)为[1,+∞)上的单调增函数,
则g'(x)≥0在[1,+∞)上恒成立,
即不等式
也即
而φ(x)=
②若函数g(x)为[1,+∞)上的单调减函数,
根据①,在[1,+∞)上φ(x)max=φ(1)=0,φ(x)没有最小值.…(13分)
所以g'(x)≤0在[1,+∞)上是不可能恒成立的.…(15分)
综上,a的取值范围为[0,+∞).…(16分)
点评:本题是一道导数的应用题,着重考查利用导数研究函数的单调性与极值,函数恒成立等知识点,属于中档题.
练习册系列答案
相关题目
| π |
| 2 |
A、f(x)=2sin(πx+
| ||
B、f(x)=2sin(2πx+
| ||
C、f(x)=2sin(πx+
| ||
D、f(x)=2sin(2πx+
|