题目内容
若函数
在[1,+∞)上的最大值为
,则a的值为________.
![]()
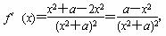
【解析】
当x>
时,f′(x)<0,f(x)单调递减;当-
<x<
时,f′(x)>0,f(x)单调递增;当x=
时,
不合题意,
∴![]()
练习册系列答案
相关题目
题目内容
若函数
在[1,+∞)上的最大值为
,则a的值为________.
![]()
【解析】
当x>
时,f′(x)<0,f(x)单调递减;当-
<x<
时,f′(x)>0,f(x)单调递增;当x=
时,
不合题意,
∴![]()