题目内容
已知数列{an}的各项均为正数,观察程序框图,若k=5,k=10时,分别有(1)试求数列{an}的通项;
(2)令bn=2an,求b1+b2+…+bm的值.
【答案】分析:(1)经过分析,程序框图为当型循环结构,按照框图题意分析求出{an}的通项.
(2)根据(1)的结论,得到bn=2an=22n-1,然后代入求b1+b2+…+bm的值即可
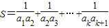
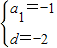
解答:解:(1)由框图可知

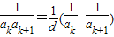
∵ai+1=ai+d,∴{an}是等差数列,设公差为d,则有

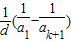
∴
=
,
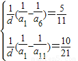
由题意可知,k=5时,
∴
得
或
(舍去)
故an=a1+(n-1)d=2n-1
(2)由(1)可得:bn=2an=22n-1
∴b1+b2++bm=21+23++22m-1
=
=
点评:本题考查程序框图,数列的概念及简单表示方法,数列的求和,通过对知识的熟练把握,分别进行求值,属于基础题.
(2)根据(1)的结论,得到bn=2an=22n-1,然后代入求b1+b2+…+bm的值即可
解答:解:(1)由框图可知
∵ai+1=ai+d,∴{an}是等差数列,设公差为d,则有
∴
由题意可知,k=5时,
∴
故an=a1+(n-1)d=2n-1
(2)由(1)可得:bn=2an=22n-1
∴b1+b2++bm=21+23++22m-1
=
=
点评:本题考查程序框图,数列的概念及简单表示方法,数列的求和,通过对知识的熟练把握,分别进行求值,属于基础题.
练习册系列答案
相关题目