题目内容
已知函数f(x)=x3+ax2+x+1,a∈R
(1)讨论函数f(x)的单调区间;
(2)设函数f(x)在区间
内是减函数,求a的取值范围。
(1)讨论函数f(x)的单调区间;
(2)设函数f(x)在区间
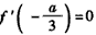
解:(1)f'(x)=3x2+2ax+1,判别式△=4(a2-3)
(i)若
,则在
上f'(x)>0,f(x)是增函数
在
内f'(x)<0,f(x)是减函数
在
上f'(x)>0,f(x)是增函数
(ii)若
,则对所有x∈R都有f'(x)>0
故此时f(x)在R上是增函数
(iii)若
,则
且对所有的
都有f'(x)>0
故当
时,f(x)在R上是增函数。
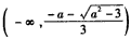
(2)由(1)知,只有当
或
时
f(x)在
内是减函数
因此
①
且
②
当
时,由①、②解得a≥2。
(i)若
上f'(x)>0,f(x)是增函数
在
在
(ii)若
故此时f(x)在R上是增函数
(iii)若
且对所有的
故当
(2)由(1)知,只有当
f(x)在
因此
且
当
练习册系列答案
相关题目
| π |
| 2 |
A、f(x)=2sin(πx+
| ||
B、f(x)=2sin(2πx+
| ||
C、f(x)=2sin(πx+
| ||
D、f(x)=2sin(2πx+
|