题目内容
有一函数y=
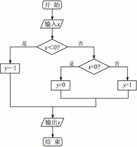
分析:程序框图:
![]()
解:程序:
Input x
If x<0 then
y=-1
Else
If x=0 then
y=0
Else
y=1
End if
End if
Print y
End
练习册系列答案
相关题目
题目内容
有一函数y=
分析:程序框图:
![]()
解:程序:
Input x
If x<0 then
y=-1
Else
If x=0 then
y=0
Else
y=1
End if
End if
Print y
End