题目内容
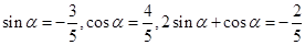
已知
,则
.
【答案】
或![]()
【解析】
试题分析:
,当
为第二象限角时,
,
当
为第三象限角时,
.所以
.
考点:三角函数值.
练习册系列答案
相关题目
题目内容
已知
,则
.
或![]()
【解析】
试题分析:
,当
为第二象限角时,
,
当
为第三象限角时,
.所以
.
考点:三角函数值.