搜索
题目内容
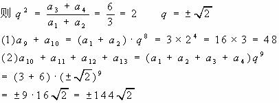
在等比数列{
}中,已知
.
(1)求
(2)求
.
试题答案
相关练习册答案
解:
为等比数列,设公比为q
练习册系列答案
现代文阅读系列答案
木头马现代文阅读系列答案
开心语文现代文阅读技能训练100篇系列答案
现代文阅读新选精练系列答案
文言文译注及赏析系列答案
全能超越同步学案系列答案
新概念小学生阅读阶梯训练系列答案
英语听力专练系列答案
青苹果阅读系列答案
千里马英语完形填空与阅读理解系列答案
相关题目
在等比数列{a
n
}中,已知a
1
+a
2
+a
3
=1,a
4
+a
5
+a
6
=-2,则该数列的前15项的和S
15
=
11
11
.
(2012•芜湖三模)在等比数列{a
n
}中,已知a
6
-a
4
=24,a
3
a
5
=64,则{a
n
}前8项的和为( )
A.255或85
B.85
C.255或-85
D.255
(2013•虹口区一模)在等比数列{a
n
}中,已知a
1
a
2
=32,a
3
a
4
=2,则
lim
n→∞
(
a
1
+
a
2
+…+
a
n
)
=
±16
±16
.
在等比数列{a
n
}中,已知a
3
=4,a
6
=32. 求数列{a
n
}的通项公式.
在等比数列{a
n
}中,已知a
2
=2,a
3
=4.
(1)求数列{a
n
}的通项a
n
;
(2)设b
n
=a
n
+1,求数列{b
n
}的前n项和T
n
.
关 闭
试题分类
高中
数学
英语
物理
化学
生物
地理
初中
数学
英语
物理
化学
生物
地理
小学
数学
英语
其他
阅读理解答案
已回答习题
未回答习题
题目汇总
试卷汇总
练习册解析答案