题目内容
已知数列{an}中,a1=5且(I)证明:数列
(II)求数列{an-1}的前n项和Sn.
【答案】分析:(Ⅰ)要证明数列
为等差数列,只要证明
=d(d 为常数)即可
(Ⅱ)由等差数列的通项公式可求
,进而可求an-1,利用错位相减可求数列的和
解答:(I)证明:∵a1=5且
且n∈N*)
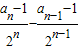
∴
∴
∴
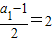
∵
∴数列
是以2为首项,以1为公差的等差数列
(II)由(I)可得,
=2+(n-1)=n+1
∴an-1=(n+1)•2n
∴Sn=2•21+3•22+…+(n+1)•2n
2Sn=2•22+3•23+…+n•2n+(n+1)•2n+1
两式相减可得,-Sn=4+22+23+…+2n-(n+1)•2n+1
=
=4+2n+1-4-(n+1)•2n+1
∴
点评:本题主要考查了数列的递推公式在数列的通项公式的求解中的应用,等差数列的通项公式的求解及错位相减求和方法的应用.
(Ⅱ)由等差数列的通项公式可求
解答:(I)证明:∵a1=5且
∴
∴
∴
∵
∴数列
(II)由(I)可得,
∴an-1=(n+1)•2n
∴Sn=2•21+3•22+…+(n+1)•2n
2Sn=2•22+3•23+…+n•2n+(n+1)•2n+1
两式相减可得,-Sn=4+22+23+…+2n-(n+1)•2n+1
=
=4+2n+1-4-(n+1)•2n+1
∴
点评:本题主要考查了数列的递推公式在数列的通项公式的求解中的应用,等差数列的通项公式的求解及错位相减求和方法的应用.
练习册系列答案
相关题目
已知数列{an}中,a1=1,2nan+1=(n+1)an,则数列{an}的通项公式为( )
A、
| ||
B、
| ||
C、
| ||
D、
|