搜索
题目内容
已知△ABC中,∠B=45°,AC=
,cosC=
,
(Ⅰ)求BC边的长;
(Ⅱ)记AB的中点为D,求中线CD的长。
试题答案
相关练习册答案
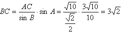
解:(Ⅰ)由
得
,
,
由正弦定理知
;
(Ⅱ)
,
,
由余弦定理知
。
练习册系列答案
实验班全程提优训练系列答案
天利38套对接高考单元专题测试卷系列答案
全程测评试卷系列答案
每时每课期中期末课时单元系列答案
全优考典单元检测卷及归类总复习系列答案
黄冈经典教程系列丛书新思维系列答案
三维设计系列答案
课堂新坐标高中同步导学案系列答案
单元测试得满分朝阳试卷系列答案
品学双优卷系列答案
相关题目
已知△ABC中,b=2,c=
3
,三角形面积S=
3
2
,则A等于( )
A.30°
B.60°
C.60°或150°
D.60°或120°
已知△ABC中,b=30,c=15,∠C=29°,则此三角形解的情况是( )
A.一解
B.两解
C.无解
D.无法确定
(文科)已知△ABC中,∠B=60°,且AB=1,BC=4,则边BC上的中线AD的长为多少?
(理科)在△ABC中,BC=a,AC=b,a、b是方程
x
2
-2
3
x+2=0
的两个根,且2cos(A+B)=1,求:
(1)∠C的度数;
(2)AB的长度.
(2007•湛江二模)已知△ABC中,B=C=
2π
5
,记cosA=x,cosB=cosC=y.
(Ⅰ)求证:1+y=2x
2
;
(Ⅱ)若△ABC的面积等于2sin
π
5
,求AC边上的中线BD的长.
(2005•温州一模)已知△ABC中,∠B=
π
3
,
AC=
3
,BC=1,则∠A=
π
6
π
6
.
关 闭
试题分类
高中
数学
英语
物理
化学
生物
地理
初中
数学
英语
物理
化学
生物
地理
小学
数学
英语
其他
阅读理解答案
已回答习题
未回答习题
题目汇总
试卷汇总
练习册解析答案