题目内容
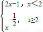
若函数f(x)=
【答案】分析:本题是一个复合函数求值,根据所给的解析式由内而外逐层求解即可得到答案
解答:解:∵f(x)=
,
∴f(4)=
=
,
∴f[f(4)]=f(
)=2×
-1=0
故答案为0
点评:本题考查求函数的值,根据自变量的取值范围选择恰当的解析式代入计算是正确求解的关键
解答:解:∵f(x)=
∴f(4)=
∴f[f(4)]=f(
故答案为0
点评:本题考查求函数的值,根据自变量的取值范围选择恰当的解析式代入计算是正确求解的关键
练习册系列答案
相关题目
若函数f(x)=sin2x,则f′(
)的值为( )
| π |
| 6 |
A、
| ||
| B、0 | ||
| C、1 | ||
D、-
|