题目内容
已知S,P(非原点)是抛物线y=x2图象上不同两点,在点P处的切线分别交x轴,y轴于Q,R两点。
(1)若
,求λ的值;
(2)若
,求△SPR的面积的最小值。
(2)若
解:(1)设
,则PR所在直线方程为:

令
得
令
得
∴
∴
∴即λ的值为
。
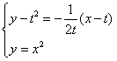
(2)由(1)知SP所在的直线方程为
联立
得
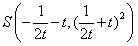
设
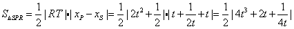
与y轴交于T,则
而
只需考察当t>0时
的最小值
而
令
,经判断当
时
取得最小值
同理当
时,f(t)的最大值为
∴
的面积的最小值为
。
令
令
∴
∴
∴即λ的值为
(2)由(1)知SP所在的直线方程为
联立
得
设
而
只需考察当t>0时
而
令
同理当
∴
练习册系列答案
相关题目