搜索
题目内容
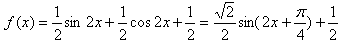
设函数f(x)=sinxcosx+cos
2
x,
(1)求f(x)的最小正周期;
(2)当x∈
时,求函数f(x)的最大值和最小值。
试题答案
相关练习册答案
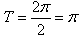
解:(Ⅰ)
,
,
故f(x)的最小正周期为π。
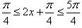
(Ⅱ)因为
,
所以
,
所以当
时,f(x)有最大值
;
当
时,f(x)有最小值0。
练习册系列答案
新课程实验报告系列答案
新课堂实验报告系列答案
小学生家庭作业系列答案
考易通课时全优练系列答案
与名师对话同步单元测试卷系列答案
黄冈状元笔记系列答案
练习册吉林教育出版集团有限责任公司系列答案
练习册湖北教育出版社系列答案
新课标同步练习系列答案
实验作业系列答案
相关题目
设函数f(x)=sinx,g(x)=
1
x
,如图是函数F(x)图象的一部分,则F(x)是( )
A.
f(x)
g(x)
B.f(x)g(x)
C.f(x)-g(x)
D.f(x)+g(x)
(2011•宝坻区一模)设函数f(x)=sinx+cos(x+
π
6
),x∈R.
(1)求函数f(x)的最小正周期及在区间[0,
π
2
]上的值域;
(2)记△ABC的内角A,B,C的对边分别为a,b,c,若f(A)=
3
2
,且a=
3
2
b,求角B的值.
定义运算a*b为:
a*b=
a(a≤b)
b(a>b)
,例如1*2=1,2*1=1,设函数f(x)=sinx*cosx,则函数f(x)的最小正周期为
2π
2π
,使f(x)>0成立的集合为
(2kπ,2kπ+
π
2
)
(2kπ,2kπ+
π
2
)
.
(2011•杭州一模)设函数f(x)=
sinx+cosx-|sinx-cosx|
2
(x∈R),若在区间[0,m]上方程f(x)=-
3
2
恰有4个解,则实数m的取值范围是
[
5π
3
,
17π
6
)
[
5π
3
,
17π
6
)
.
(2013•安徽)设函数f(x)=sinx+sin(x+
π
3
).
(Ⅰ)求f(x)的最小值,并求使f(x)取得最小值的x的集合;
(Ⅱ)不画图,说明函数y=f(x)的图象可由y=sinx的图象经过怎样的变化得到.
关 闭
试题分类
高中
数学
英语
物理
化学
生物
地理
初中
数学
英语
物理
化学
生物
地理
小学
数学
英语
其他
阅读理解答案
已回答习题
未回答习题
题目汇总
试卷汇总
练习册解析答案