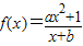
题目内容
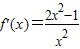
若函数(1)求a,b的值,写出f(x)的表达式;
(2)判断f(x)在[1,+∞)上的单调性,并加以证明.
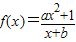
【答案】分析:(1)根据函数
,在定义域上是奇函数且f(1)=3,可得f(-1)=-3,由此构造方程组可得a,b的值,进而写出f(x)的表达式;
(2)根据(1)中函数解析式,求出函数的导函数,进而根据导函数的符号,判断出原函数的单调性.
解答:解:(1)∵
,在定义域上是奇函数且f(1)=3,
∴f(-1)=-3
∴
解得a=2,b=0
∴
(2)函数f(x)在[1,+∞)上单调递增,理由如下:
∵
=2-
∵x∈[1,+∞)时,
<1,f′(x)>0
故函数f(x)在[1,+∞)上单调递增
点评:本题考查的知识点是函数的奇偶性,函数的单调性,是函数图象和性质的综合应用,难度中档.
(2)根据(1)中函数解析式,求出函数的导函数,进而根据导函数的符号,判断出原函数的单调性.
解答:解:(1)∵
∴f(-1)=-3
∴
解得a=2,b=0
∴
(2)函数f(x)在[1,+∞)上单调递增,理由如下:
∵
∵x∈[1,+∞)时,
故函数f(x)在[1,+∞)上单调递增
点评:本题考查的知识点是函数的奇偶性,函数的单调性,是函数图象和性质的综合应用,难度中档.
练习册系列答案
相关题目