题目内容
设ω>0,函数y=sin(ωx+A.
B.
C.
D.3
【答案】分析:求出图象平移后的函数表达式,与原函数对应,求出ω的最小值.
解答:解:将y=sin(ωx+
)+2的图象向右平移
个单位后为
=
,
所以有
=2kπ,即
,
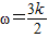
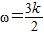
又因为ω>0,所以k≥1,
故
≥
,
故选C
点评:本题考查了三角函数图象的平移变换与三角函数的周期性,考查了同学们对知识灵活掌握的程度.
解答:解:将y=sin(ωx+
所以有
又因为ω>0,所以k≥1,
故
故选C
点评:本题考查了三角函数图象的平移变换与三角函数的周期性,考查了同学们对知识灵活掌握的程度.
练习册系列答案
相关题目