题目内容
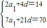
已知等差数列an的前n项和为Sn,且满足:a2+a4=14,S7=70.(I)求数列an的通项公式;
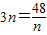
(II)设
【答案】分析:(I)设公差为d,则有
解方程可求a1,d,进而可求an
(II)利用等差数列的和可求Sn,然后可求bn,然后结合基本不等式可求最小项
解答:解:(I)设公差为d,则有
…(2分)
解得
以an=3n-2. …(4分)
(II)
…(6分)
所以
=
-1
…(10分)
当且仅当
,即n=4时取等号,
故数列{bn}的最小项是第4项,该项的值为23. …(12分)
点评:本题主要考查了利用基本量a1,d表示等差数列的项、通项公式,这是数列部分最基本的考查试题类型,而基本不等式的应用是求解数列最小项的关键.
(II)利用等差数列的和可求Sn,然后可求bn,然后结合基本不等式可求最小项
解答:解:(I)设公差为d,则有
解得
(II)
所以
当且仅当
故数列{bn}的最小项是第4项,该项的值为23. …(12分)
点评:本题主要考查了利用基本量a1,d表示等差数列的项、通项公式,这是数列部分最基本的考查试题类型,而基本不等式的应用是求解数列最小项的关键.
练习册系列答案
相关题目