题目内容
已知焦点在x轴上的双曲线的渐近线方程为y=±
【答案】分析:由焦点在x轴上的双曲线的渐近线方程为y=±
,知双曲线的标准方程为
,由此能求出此双曲线的离心率.
解答:解:∵焦点在x轴上的双曲线的渐近线方程为y=±
,
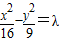
∴设双曲线方程为
,λ>0,
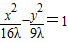
∴双曲线的标准方程为
,
∴a2=16λ,c2=25λ,
∴此双曲线的离心率e=
=
.
故答案为:
.
点评:本题考查双曲线的离心率的求法,是基础题.解题时要认真审题,注意双曲线渐近线方程的合理运用.
解答:解:∵焦点在x轴上的双曲线的渐近线方程为y=±
∴设双曲线方程为
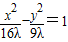
∴双曲线的标准方程为
∴a2=16λ,c2=25λ,
∴此双曲线的离心率e=
故答案为:
点评:本题考查双曲线的离心率的求法,是基础题.解题时要认真审题,注意双曲线渐近线方程的合理运用.
练习册系列答案
相关题目