题目内容
已知函数f(x)=lnx-(Ⅰ)讨论函数f(x)的单调区间;
(Ⅱ)若xlnx≤mx2-
【答案】分析:(Ⅰ)求导函数,对参数a进行讨论,即可确定函数f(x)的单调区间;
(Ⅱ)先分离参数,构造函数,确定函数的最大值,即可求得m的取值范围.
解答:解:(Ⅰ)定义域{x|x>0}.(1分)
当a<0时,x∈(0,-a),f'(x)<0,f(x)单调递减,
x∈(-a,+∞),f'(x)>0,f(x)单调递增;
当a≥0时,x∈(0,+∞),f'(x)>0,f(x)单调递增.(4分)
(Ⅱ)由
,得
.
令已知函数
.(5分)
.
∵当a=-1时,
,
∴
.(7分)
当x∈(0,1)时,f(x)单调递减,x∈(1,+∞)时,f(x)单调递增.(8分)
f(x)≥f(1)=3,即
,
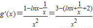
∴
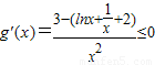
,
∴g(x)在x∈(0,+∞)上,g'(x)≤0,g(x)单调递减,(9分)
在
上,
,若
恒成立,则
.(10分)
点评:本题考查导数知识的运用,考查恒成立问题,考查分离参数法的运用,解题的关键是确定函数的单调性,确定函数的最值.
(Ⅱ)先分离参数,构造函数,确定函数的最大值,即可求得m的取值范围.
解答:解:(Ⅰ)定义域{x|x>0}.(1分)
当a<0时,x∈(0,-a),f'(x)<0,f(x)单调递减,
x∈(-a,+∞),f'(x)>0,f(x)单调递增;
当a≥0时,x∈(0,+∞),f'(x)>0,f(x)单调递增.(4分)
(Ⅱ)由
令已知函数
∵当a=-1时,
∴
当x∈(0,1)时,f(x)单调递减,x∈(1,+∞)时,f(x)单调递增.(8分)
f(x)≥f(1)=3,即
∴
∴g(x)在x∈(0,+∞)上,g'(x)≤0,g(x)单调递减,(9分)
在
点评:本题考查导数知识的运用,考查恒成立问题,考查分离参数法的运用,解题的关键是确定函数的单调性,确定函数的最值.
练习册系列答案
相关题目