题目内容
某建筑的金属支架如图所示,根据要求AB至少长2.8m,C为AB的中点,B到D的距离比CD的长小0.5m,∠BCD=60°,已知建筑支架的材料每米的价格一定,问怎样设计AB,CD的长,可使建造这个支架的成本最低?
【答案】分析:通过三角形中的余弦定理得到a,b的等量关系;通过换元转化成积是定值;求和的最小值问题;再利用基本不等式解.
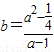
解答:解:设BC=am(a≥1,4),CD=bm.连接BD.则BD=b-
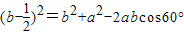
则在△CDB中,
,
∴
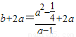
,
∴
,
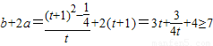
设
,
则
,
等号成立时t=0.5>0.4,a=1.5,b=4.
答:当AB=3m,CD=4m时,建造这个支架的成本最低.
点评:本题考查解三角形;数学上的换元思想;用基本不等式求函数最值.
解答:解:设BC=am(a≥1,4),CD=bm.连接BD.则BD=b-
则在△CDB中,
∴
∴
设
则
等号成立时t=0.5>0.4,a=1.5,b=4.
答:当AB=3m,CD=4m时,建造这个支架的成本最低.
点评:本题考查解三角形;数学上的换元思想;用基本不等式求函数最值.
练习册系列答案
相关题目