题目内容

等差数列的前n项和为=                  (   )

A.18          B.20              C.21         D.22

 

【答案】

B

【解析】

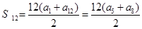
试题分析:,即,解得.

考点:1.等差数列的通项,和式;2.等差数列性质(下标关系).

 

练习册系列答案
相关题目

违法和不良信息举报电话:027-86699610 举报邮箱:58377363@163.com

精英家教网