题目内容
已知△ABC的三内角A,B,C所对三边分别为a,b,c,且
(Ⅰ)求tanA的值;
(Ⅱ)若△ABC的面积S=24,b=8,求a的值。
(Ⅰ)求tanA的值;
(Ⅱ)若△ABC的面积S=24,b=8,求a的值。
解:(Ⅰ)
,
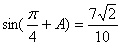
由
,得
,
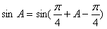
∴
=
-
=
,
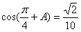
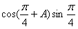
∴
,∴
。
(Ⅱ)由
,得c=10,
∴
,∴a=6.
由
∴
∴
(Ⅱ)由
∴
练习册系列答案
相关题目
已知△ABC的三内角A,B,C成等差数列,则 tan(A+C)=( )
A、
| ||||
B、-
| ||||
C、-
| ||||
D、
|