题目内容
设AB是椭圆的长轴,点C在椭圆上,且
,若AB=4,
,则椭圆的两个焦点之间的距离为________
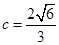
【答案】
.
【解析】
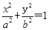
试题分析:如图,设椭圆的标准方程为
,由题意知,
,
,∵
,
,∴点
的坐标为
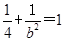
,因点
在椭圆上,∴
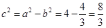
,∴
,∴
,
,则椭圆的两个焦点之间的距离为
.
![]()
考点:椭圆的标准方程,与几何性质.
练习册系列答案
相关题目