题目内容
已知函数(1)判断并证明函数在其定义域上的奇偶性;
(2)判断并证明函数在(2,+∞)上的单调性;
(3)解不等式f(2x2+5x+8)+f(x-3-x2)<0.
【答案】分析:(1)根据函数的奇偶性的定义,首先应求解函数的定义域,然后在定义域上任设一数看此数对应函数值与此数相反数对应函数值的关系即可;
(2)根据函数单调性的定义,首先应在所给区间上任设两个数并规定大小,然后通过作差法分析获得两数对应函数值之间的大小关系即可;
(3)首先要将抽象不等式结合函数的奇偶性进行转化,然后根据函数的单调性找到自变量之间的不等关系,注意定义域优先原则.
解答:解:
(1)任意x∈{x|x≠0},
,
所以函数为奇函数.
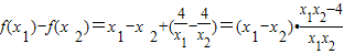
(2)任取x1,x2∈(2,+∞)
则
∵x1<x2∴x1-x2<0,
又∵x1,x2∈(2,+∞),
∴x1•x2>4,x1•x2-4>0,
∴f(x1)-f(x2)<0,
所以函数在(2,+∞)上为增函数
(3)因为2x2+5x+8>2,x2-x+3>2,
∴2x2-5x+8<x2-x+3,
∴-5<x<-1
所以不等式的解集为:(-5,-1).
点评:本题考查的是函数单调性与奇偶性的判断和应用问题.在解答的过程当中充分体现了函数性质的定义理解、作差法以及问题转化的思想.值得同学们体会和反思.
(2)根据函数单调性的定义,首先应在所给区间上任设两个数并规定大小,然后通过作差法分析获得两数对应函数值之间的大小关系即可;
(3)首先要将抽象不等式结合函数的奇偶性进行转化,然后根据函数的单调性找到自变量之间的不等关系,注意定义域优先原则.
解答:解:
(1)任意x∈{x|x≠0},
所以函数为奇函数.
(2)任取x1,x2∈(2,+∞)
则
∵x1<x2∴x1-x2<0,
又∵x1,x2∈(2,+∞),
∴x1•x2>4,x1•x2-4>0,
∴f(x1)-f(x2)<0,
所以函数在(2,+∞)上为增函数
(3)因为2x2+5x+8>2,x2-x+3>2,
∴2x2-5x+8<x2-x+3,
∴-5<x<-1
所以不等式的解集为:(-5,-1).
点评:本题考查的是函数单调性与奇偶性的判断和应用问题.在解答的过程当中充分体现了函数性质的定义理解、作差法以及问题转化的思想.值得同学们体会和反思.
练习册系列答案
相关题目
已知函数,f(x)=
,则复合函数f{f[f(-1)]}=( )
|
| A、x2+1 |
| B、π2+1 |
| C、-π |
| D、0 |