题目内容
已知F1,F2是椭圆(1)求椭圆的标准方程;
(2)当
【答案】分析:(1)依题意,易得PF1⊥F1F2,进而可得c=1,根据椭圆的方程与性质可得
+
=1,a2=b2+c2,联立解可得a2、b2、c2的值,即可得答案;
(2)根据题意,直线l与⊙x2+y2=1相切,则圆心到直线的距离等于圆的半径1,即
=1,变形为m2=k2+1,联立椭圆与直线的方程,即
,得(1+2k2)x2+4kmx+2m2-2=0,设由直线l与椭圆交于不同的两点A(x1,y1),B(x2,y2),则△>0,解可得k≠0,可得x1+x2=-
,x1•x2=-
,进而将其代入y1•y2=(kx1+m)(kx2+m)可得y1•y2关于k的表达式,又由
=x1•x2+y1•y2=
=
,结合题意
≤λ≤
,解可得
≤k2≤1,根据弦长公式可得|AB|=2
,设u=k4+k2(
≤k2≤1),则
≤u≤2,将|AB|用u表示出来,由u
[
,2]分析易得答案.
解答:解:(1)依题意,由
•
=0,可得PF1⊥F1F2,
∴c=1,
将点p坐标代入椭圆方程可得
+
=1,又由a2=b2+c2,
解得a2=2,b2=1,c2=1,
∴椭圆的方程为
+y2=1.
(2)直线l:y=kx+m与⊙x2+y2=1相切,则
=1,即m2=k2+1,
由直线l与椭圆交于不同的两点A、B,设A(x1,y1),B(x2,y2),
由
,得(1+2k2)x2+4kmx+2m2-2=0,
△=(4km)2-4×(1+2k2)(2m2-2)>0,化简可得2k2>1+m2,
x1+x2=-
,x1•x2=-
,
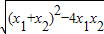
y1•y2=(kx1+m)(kx2+m)=k2x1•x2+km(x1+x2)+m2=
=
,
=x1•x2+y1•y2=
=
,
≤
≤
,解可得
≤k2≤1,(9分)
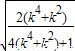
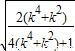
|AB|=
=2
设u=k4+k2(
≤k2≤1),
则
≤u≤2,|AB|=2
=2
,u
[
,2]
分析易得,
≤|AB|≤
.(13分)
点评:本题考查直线与椭圆的位置关系,解此类题目,一般要联系直线与圆锥曲线的方程,得到一元二次方程,利用根与系数的关系来求解.
(2)根据题意,直线l与⊙x2+y2=1相切,则圆心到直线的距离等于圆的半径1,即
解答:解:(1)依题意,由
∴c=1,
将点p坐标代入椭圆方程可得
解得a2=2,b2=1,c2=1,
∴椭圆的方程为
(2)直线l:y=kx+m与⊙x2+y2=1相切,则
由直线l与椭圆交于不同的两点A、B,设A(x1,y1),B(x2,y2),
由
△=(4km)2-4×(1+2k2)(2m2-2)>0,化简可得2k2>1+m2,
x1+x2=-
y1•y2=(kx1+m)(kx2+m)=k2x1•x2+km(x1+x2)+m2=
|AB|=
设u=k4+k2(
则
分析易得,
点评:本题考查直线与椭圆的位置关系,解此类题目,一般要联系直线与圆锥曲线的方程,得到一元二次方程,利用根与系数的关系来求解.
练习册系列答案
相关题目