题目内容
在平面直角坐标系xOy中,已知圆x2+y2-12x+32=0的圆心为Q,过点P(0,2)且斜率为k的直线与圆Q相交于不同的两点A,B.(Ⅰ)求k的取值范围;
(Ⅱ)是否存在常数k,使得向量
【答案】分析:(Ⅰ)先把圆的方程整理成标准方程,进而求得圆心,设出直线方程代入圆方程整理后,根据判别式大于0求得k 的范围,
(Ⅱ)A(x1,y1),B(x2,y2),根据(1)中的方程和韦达定理可求得x1+x2的表达式,根据直线方程可求得y1+y2的表达式,进而根据以
与
共线可推知(x1+x2)=6(y1+y2),进而求得k,根据(1)k的范围可知,k不符合题意.
解答:解:(Ⅰ)圆的方程可写成(x-6)2+y2=4,所以圆心为Q(6,0),过P(0,2)
且斜率为k的直线方程为y=kx+2.
代入圆方程得x2+(kx+2)2-12x+32=0,
整理得(1+k2)x2+4(k-3)x+36=0. ①
直线与圆交于两个不同的点A,B等价于△=[4(k-3)2]-4×36(1+k2)=42(-8k2-6k)>0,
解得
,即k的取值范围为
.
(Ⅱ)设A(x1,y1),B(x2,y2),则
,
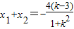
由方程①,
②
又y1+y2=k(x1+x2)+4. ③
而
.
所以
与
共线等价于(x1+x2)=-3(y1+y2),
将②③代入上式,解得
.
由(Ⅰ)知
,故没有符合题意的常数k.
点评:本题主要考查了直线与圆的方程的综合运用.常需要把直线方程与圆的方程联立,利用韦达定理和判别式求得问题的解.
(Ⅱ)A(x1,y1),B(x2,y2),根据(1)中的方程和韦达定理可求得x1+x2的表达式,根据直线方程可求得y1+y2的表达式,进而根据以
解答:解:(Ⅰ)圆的方程可写成(x-6)2+y2=4,所以圆心为Q(6,0),过P(0,2)
且斜率为k的直线方程为y=kx+2.
代入圆方程得x2+(kx+2)2-12x+32=0,
整理得(1+k2)x2+4(k-3)x+36=0. ①
直线与圆交于两个不同的点A,B等价于△=[4(k-3)2]-4×36(1+k2)=42(-8k2-6k)>0,
解得
(Ⅱ)设A(x1,y1),B(x2,y2),则
由方程①,
又y1+y2=k(x1+x2)+4. ③
而
所以
将②③代入上式,解得
由(Ⅰ)知
点评:本题主要考查了直线与圆的方程的综合运用.常需要把直线方程与圆的方程联立,利用韦达定理和判别式求得问题的解.
练习册系列答案
相关题目