题目内容
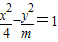
若双曲线
【答案】分析:利用双曲线的渐近线方程,求出m,从而可求双曲线的焦点坐标.
解答:解:由题意,∵双曲线
的渐近线方程为
,
∴
=
,
∴m=3
∴c=
=
∴双曲线的焦点坐标是(-
,0)、(
,0)
故答案为:(-
,0)、(
,0)
点评:本题考查双曲线的标准方程与性质,求得双曲线的标准方程是关键.
解答:解:由题意,∵双曲线
∴
∴m=3
∴c=
∴双曲线的焦点坐标是(-
故答案为:(-
点评:本题考查双曲线的标准方程与性质,求得双曲线的标准方程是关键.
练习册系列答案
相关题目