题目内容
设函数f(x)=(1)判断函数f(x)的奇偶性,并说明理由;
(2)证明:函数f(x)在[1,+∞)上是增函数.
【答案】分析:(1)先求定义域,然后根据奇偶函数的定义进行判断;
(2)设1≤x1<x2,只需利用作差证明f (x1)<f (x2);
解答:解:(1)f(x)为偶函数,理由如下:
由x2-1≥0得f(x)的定义域为(-∞,-1]∪[1,+∞),
又f(-x)=f(x),
所以f(x)为偶函数.
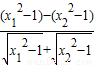
(2)设1≤x1<x2,
则
=
=
,
∵1≤x1<x2,∴
,
,
∴f (x1)-f (x2)<0,即f (x1)<f (x2),
∴函数f(x)在[1,+∞)上是增函数.
点评:本题考查函数奇偶性、单调性的判断证明,属中档题,定义是解决该类题目的基础.
(2)设1≤x1<x2,只需利用作差证明f (x1)<f (x2);
解答:解:(1)f(x)为偶函数,理由如下:
由x2-1≥0得f(x)的定义域为(-∞,-1]∪[1,+∞),
又f(-x)=f(x),
所以f(x)为偶函数.
(2)设1≤x1<x2,
则
=
∵1≤x1<x2,∴
∴f (x1)-f (x2)<0,即f (x1)<f (x2),
∴函数f(x)在[1,+∞)上是增函数.
点评:本题考查函数奇偶性、单调性的判断证明,属中档题,定义是解决该类题目的基础.
练习册系列答案
相关题目