题目内容
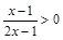
设
,
,若
是
的充分不必要条件,则实数m的取值范围为
.
【答案】
.
【解析】
试题分析:由
,得
.由
得
或
.
是
的充分不必要条件,又
,
.
考点:常用逻辑用语.
练习册系列答案
相关题目
题目内容
设
,
,若
是
的充分不必要条件,则实数m的取值范围为
.
.
【解析】
试题分析:由
,得
.由
得
或
.
是
的充分不必要条件,又
,
.
考点:常用逻辑用语.