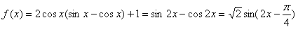
题目内容

已知函数
(1)求函数的最小正周期、最小值、最大值;
(2)画出函数区间内的图象.
解:
(1 )函数的最小正周期
最小值和最大值分别是
(2)列表,图像如下图示
练习册系列答案
相关题目

违法和不良信息举报电话:027-86699610 举报邮箱:58377363@163.com

精英家教网