ÌâÄ¿ÄÚÈÝ
ÒÑÖªº¯Êýf1£¨x£©=x£¬f2£¨x£©=x2£¬f3£¨x£©=x3£¬f4£¨x£©=sinx£¬f5£¨x£©=cosx£¬f6£¨x£©=lg£¨|x|+1£©£¬½«ËüÃÇ·Ö±ðдÔÚÁùÕÅ¿¨Æ¬ÉÏ£¬·ÅÔÚÒ»¸öºÐ×ÓÖУ¬£¨¢ñ£©ÏÖ´ÓºÐ×ÓÖÐÈÎÈ¡Á½ÕÅ¿¨Æ¬£¬½«¿¨Æ¬Éϵĺ¯ÊýÏà¼ÓµÃµ½Ò»¸öк¯Êý£¬ÇóËùµÃµÄº¯ÊýÊÇÆæº¯ÊýµÄ¸ÅÂÊ£»
£¨¢ò£©´ÓºÐ×ÓÖÐÈÎÈ¡Á½ÕÅ¿¨Æ¬£¬ÒÑÖªÆäÖÐÒ»ÕÅ¿¨Æ¬Éϵĺ¯ÊýÎªÆæº¯Êý£¬ÇóÁíÒ»ÕÅ¿¨Æ¬Éϵĺ¯ÊýÒ²ÊÇÆæº¯ÊýµÄ¸ÅÂÊ£»
£¨¢ó£©ÏÖ´ÓºÐ×ÓÖÐÖðÒ»³éÈ¡¿¨Æ¬£¬ÇÒÿ´ÎÈ¡³öºó¾ù²»·Å»Ø£¬ÈôÈ¡µ½Ò»ÕżÇÓÐżº¯ÊýµÄ¿¨Æ¬ÔòÍ£Ö¹³éÈ¡£¬·ñÔò¼ÌÐø½øÐУ¬Çó³éÈ¡´ÎÊý¦ÎµÄ·Ö²¼ÁкÍÊýѧÆÚÍû£®
¡¾´ð°¸¡¿·ÖÎö£º£¨¢ñ£©ÀûÓÃ×éºÏµÄ·½·¨Çó³öÏÖ´ÓºÐ×ÓÖÐÈÎÈ¡Á½ÕÅ¿¨Æ¬¹¹³Éк¯ÊýµÄ¸öÊý£¬ÀûÓÃ×éºÏµÄ·½·¨ÇóËùµÃº¯ÊýÊÇÆæº¯ÊýµÄ¸öÊý
ÀûÓùŵä¸ÅÐ͵ĸÅÂʹ«Ê½Çó³öµÄËùµÃµÄº¯ÊýÊÇÆæº¯ÊýµÄ¸ÅÂʸÅÂÊ£»
£¨¢ò£©ÀûÓÃ×éºÏµÄ·½·¨Çó³ö¸÷¸öʼþ°üº¬µÄ»ù±¾Ê¼þÊý£¬ÀûÓÃÌõ¼þ¸ÅÂʵĸÅÂʹ«Ê½Çó³öʼþµÄ¸ÅÂÊ£®
£¨III£©Çó³ö¦Î¿ÉÄÜȡֵ£¬Çó³öÆäȡÿһ¸öÖµµÄ ¸ÅÂÊÖµ£¬Áгö·Ö²¼ÁУ¬ÀûÓÃÆÚÍûµÄ¹«Ê½Çó³öÆäÆÚÍû£®
½â´ð£º½â£º£¨¢ñ£©
-----£¨3·Ö£©
£¨¢ò£©
-------£¨7·Ö£©
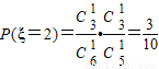
£¨¢ó£©¦Î¿ÉÄÜȡֵ1£¬2£¬3£¬4-----£¨8·Ö£©
£¬
£¬
£¬
-----------£¨10·Ö£©
¦ÎµÄ·Ö²¼ÁÐΪ
Ôò
----------------------------£¨12·Ö£©
µãÆÀ£º±¾Ì⿼²éÀëÉ¢ÐÍËæ»ú±äÁ¿µÄÆÚÍûÓë·½²î£¬½â´ð±¾Ìâ¹Ø¼üÊÇÀí½âËùÑо¿µÄʼþÒÔ¼°Ê¼þ¸ÅÂʵÄÇ󷨹«Ê½£¬ÆÚÍûÇ󷨹«Ê½£¬±¾ÌâÊǸÅÂÊÖп¼²é±È½ÏÈ«ÃæµÄÌâÐÍ£¬Éæ¼°µ½ÁËʼþµÄÐÔÖÊ£¬¸ÅÂʵÄÇ󷨣¬ÆÚÍûµÄÇ󷨣¬Êǽü¼¸Äê¸ß¿¼ÖиÅÂÊ¿¼ÊԱȽϳ£¼ûµÄÌâÐÍ
ÀûÓùŵä¸ÅÐ͵ĸÅÂʹ«Ê½Çó³öµÄËùµÃµÄº¯ÊýÊÇÆæº¯ÊýµÄ¸ÅÂʸÅÂÊ£»
£¨¢ò£©ÀûÓÃ×éºÏµÄ·½·¨Çó³ö¸÷¸öʼþ°üº¬µÄ»ù±¾Ê¼þÊý£¬ÀûÓÃÌõ¼þ¸ÅÂʵĸÅÂʹ«Ê½Çó³öʼþµÄ¸ÅÂÊ£®
£¨III£©Çó³ö¦Î¿ÉÄÜȡֵ£¬Çó³öÆäȡÿһ¸öÖµµÄ ¸ÅÂÊÖµ£¬Áгö·Ö²¼ÁУ¬ÀûÓÃÆÚÍûµÄ¹«Ê½Çó³öÆäÆÚÍû£®
½â´ð£º½â£º£¨¢ñ£©
£¨¢ò£©
£¨¢ó£©¦Î¿ÉÄÜȡֵ1£¬2£¬3£¬4-----£¨8·Ö£©
| ¦Î | 1 | 2 | 3 | 4 |
| P |
| ¦Î | 1 | 2 | 3 | 4 |
| p |
µãÆÀ£º±¾Ì⿼²éÀëÉ¢ÐÍËæ»ú±äÁ¿µÄÆÚÍûÓë·½²î£¬½â´ð±¾Ìâ¹Ø¼üÊÇÀí½âËùÑо¿µÄʼþÒÔ¼°Ê¼þ¸ÅÂʵÄÇ󷨹«Ê½£¬ÆÚÍûÇ󷨹«Ê½£¬±¾ÌâÊǸÅÂÊÖп¼²é±È½ÏÈ«ÃæµÄÌâÐÍ£¬Éæ¼°µ½ÁËʼþµÄÐÔÖÊ£¬¸ÅÂʵÄÇ󷨣¬ÆÚÍûµÄÇ󷨣¬Êǽü¼¸Äê¸ß¿¼ÖиÅÂÊ¿¼ÊԱȽϳ£¼ûµÄÌâÐÍ
Á·Ï°²áϵÁдð°¸
Ïà¹ØÌâÄ¿